抖音黑料

抖音黑料» 科学研究» 媒体聚经
【经济日报-地球村工作室】程大为:中国的改革开放令全世界受益
发文时间:2020-03-21

抖音黑料

加入世界贸易组织19年以来,中国切实履行加入世贸组织时作出的承诺,坚定支持多边贸易体制,坚定不移推进更高水平对外开放。针对中国的发展中国家身份、在加入世贸组织后是否很好地履行了承诺并承担了与自身国际地位相符的责任等问题,《经济日报》记者采访了抖音黑料 国家发展与战略研究院研究员、抖音黑料 教授程大为。程大为表示,入世以来,中国为世界经济贸易发展带来了重要机遇,作出了重大贡献。展望未来,中国将以更广范围、更大力度、更高水平的对外开放,促进经济全球化深入发展。

中国是最大的发展中国家

关于发展中国家和发达国家的界定,程大为表示,多年来,世界银行一直采用人均国民收入法把各个国家和地区分为高收入、中高收入、中低收入和低收入四个组。2018年的世界银行报告,将人均国民收入高于12235美元的国家定义为高收入国家。世界银行每年调整一次的人均国民总收入有关的阈值,2019年,中高收入国家被定义为人均国民总收入在3896美元至12055美元之间的经济体;高收入国家是指人均国民总收入达到12056美元或以上的经济体。按照世界银行的数据,我国2018年的人均国民收入为9470美元,美国为62850美元,我国距离高收入国家还有较大距离。

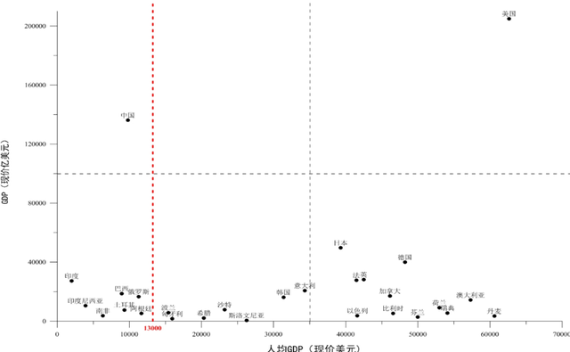
程大为介绍,2019年美国政府对世界贸易组织中的发展中国家身份认定问题提出质疑,提出经济合作与发展组织(OECD)和20国集团(G20)的国家应是发达国家。为了能从总量和人均角度比较OECD国家以及G20国家的经济水平,程大为制作了一张图表,选用国内生产总值(GDP)、人均GDP数值直观进行比较,她说:“用人均GDP和GDP两个数据统一看国家类型,虽然不是完美的方法,但至少直观呈现了国家经济发展的全景。图中呈现了中美两国的情况,中国和美国的经济总量超出其他国家,具有规模,但人均GDP有显著差距,可以说,中国是最大的发展中国家,而美国是最大的发达国家。”

数据来源:GDP与人均GDP(2018年)数据来源均为世界银行数据库:World Bank Open Data|Data //data.worldbank.org.cn/图为程大为制作。

程大为表示,联合国贸易与发展会议(UNCTAD)认为“发展”这个词的范围远远超过贸易或者是经济的范畴,一个国家的发展面临着经济、社会、环境等许多领域的多重挑战。联合国贸易与发展会议于2019年发布的研究报告指出,从多维度综合来看,中国仍然是一个中等收入的发展中国家。

程大为介绍,联合国开发计划署用“人类发展指数(HDI)”做国家分类指标,以“预期寿命、教育水平和生活质量”三项指标作为基础变量,按照一定计算方法得出的综合指标,用来衡量各个国家人类发展水平。1990至2017年,中国人类发展指数快速提高,但是2017年中国HDI指数也仅达到0.752,世界排名86位,处于全球中游。在综合水平HDI衡量下,中国目前仍是发展中国家。

中国认真履行入世承诺

程大为表示,入世以来,中国认真履行入世承诺,例子不胜枚举。从1986年中国要求恢复关贸总协定地位,到2001年中国加入WTO,这15年是中国熟悉国际体系、学习国际规则的时代。入世五年过渡期结束时,美国贸易代表办公室曾发布长达了100页的评估报告,得出的结论是:中国自2001年以来进行的一系列重大改革,令美国企业和老百姓受益颇多。美国时任商务部部长古铁雷斯表示,5年来,“许多事情中国做对了”。

程大为说,在中国申请加入WTO的谈判中,中国始终坚持世贸组织作为一个国际组织,没有中国这个最大的发展中国家的参加是不完整的;中国只能作为一个发展中国家加入。从中国加入议定书等法律文件和中国的行动看,中国不仅没有滥用发展中成员待遇,还承担了比一般发展中成员更多的义务,这些努力在一定程度上得到了WTO的认可。

积极承担责任和义务

入世以来,中国是如何积极承担与中国国际地位相符的责任的?程大为谈到,2001年末,中国加入WTO后面临的首要挑战就是如何进行体制性融合,建立市场经济下的贸易体制。早在申请加入WTO时,人们就已经认识到,加入WTO将意味着中国需要改变其外贸体制,完善贸易立法,要用国际法定的规则来管理贸易。可以说,申请加入的过程就是体制性融合的过程。

“例如,在贸易体制的改革方面,1988年至1990年,中国推行对外贸易承包责任制,由各地方政府以及全国性外贸总公司向国家承包出口收汇。入世后,中国企业,特别是私人企业获得了贸易权,改变了对外贸易体制,这说明中国做出了体制性融合的努力。而1994年更是值得记忆的一年,这年的7月1日正式实施了《中华人民共和国对外贸易法》,标志着市场经济下贸易体制的确立和贸易立法的开始。”程大为说。

在具体法律规则的建设方面,加入WT0后,仅在2002年,中央参照世界贸易组织规则,最终修订法律文件210件,废止法律文件559件,确定保留法律文件450件,而全国31个省、自治区、直辖市和49个较大的市根据清理结果,修改、废止了19多万件地方性法规、地方政府规章和其它政策措施。立法清理的目标是:不允许违反世界贸易组织协定和中国对外承诺的法律规范存在;不允许地方的法律规范违反中央的法律规范;不允许不同层次的法律规范相矛盾。

入世19年来,中国一直加大对外开放力度,遵守自由贸易承诺,积极推动高水平对外开放。程大为举例,2018年6月29日,中国发布了新的外商投资准入负面清单,共在22个领域推出开放措施,基本完全放开制造业的投资限制,2021年取消金融领域所有外资股比限制;2018年7月1日,中国开始降低汽车整车及零部件进口关税,涉及218个税目的汽车及零部件;2018年7月1日,中国开始降低部分进口日用消费品的最惠国税率,涉及1449个税目……这些举措都说明,中国在全方位推进高水平开放,支持全球化深入发展。站在新时代的历史起点上,中国开放的大门不会关闭,只会越开越大。

(文章来源于经济日报-地球村工作室